PATA History Pages

The Truth Part 3

Picture

Exposing the nature of ?“public control?”.

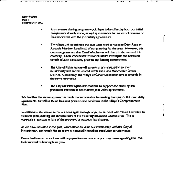
Canal Winchester Mayor's letter indicating what Hughes was doing in September 2002 before the 2nd scheduled Growth Summit Meeting.

Sponsored Links
Advertise Here!

Promote Your Business or Product for $10/mo

istockphoto_2518034-hot-pizza.jpg

For just $10/mo you can promote your business or product directly to nearby residents. Buy 12 months and save 50%!

Buynow

Zip Code Profiler

43147 Zip Code Details

Neighborhoods, Home Values, Schools, City & State Data, Sex Offender Lists, more.