PATA History Pages

"Emergency Legislation" useage limits

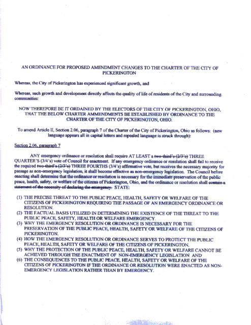
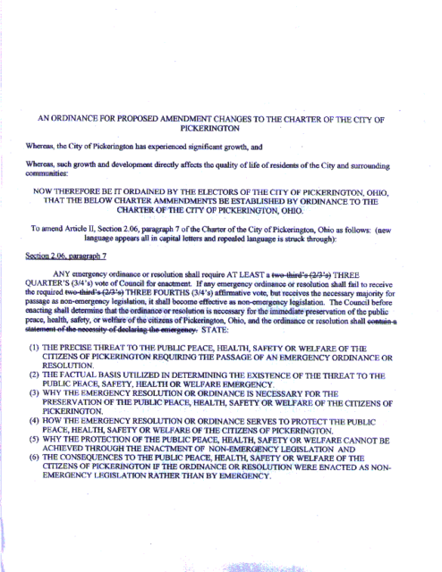
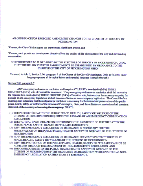
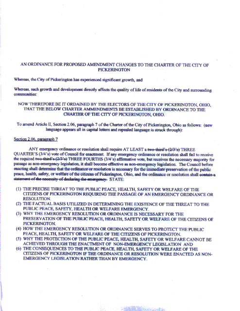
Picture

image of actual text

This posting is provided for you so that you may read the actual text of the Initiative

Sponsored Links
Advertise Here!

Promote Your Business or Product for $10/mo

istockphoto_2518034-hot-pizza.jpg

For just $10/mo you can promote your business or product directly to nearby residents. Buy 12 months and save 50%!

Buynow

Zip Code Profiler

43147 Zip Code Details

Neighborhoods, Home Values, Schools, City & State Data, Sex Offender Lists, more.