
There is substantial rhetoric related to the Annexation Reform Bill (Senate Bill #5), signed earlier by Governor Taft after passage in both branches of the State Legislature by wide margins.
Some of the points being extolled about the damaging impact of Annexation Reform are:
1. Senate Bill 5 will have a negative impact on economic development and job creation.
2. Senate Bill 5 limits the rights of property owners.
3. Senate Bill 5 mandates a buffer, before development begins, and may be forced by adjacent property owners.
4. Senate Bill 5 will negatively impact school district funding, by adversely impacting economic development – reducing revenue for school districts.
Believe it or not the phone number to contact with your concerns about participating in a REFERENDUM to place Senate Bill #5 to a statewide vote of the public is –
614- 837-3974
Did you know that is the same # as the Pickerington City Hall?
The mailing address for you is –
115 N. Center Street
Did you know that is the same address as Pickerington’s City Attorney?
Yes, strange as it may seem Pickerington ………. The home of “EMERGENCY ORDINANCES” – passed at developer, council member, mayor, manager requests to not allow local referendums is the same home of a request of a Statewide vote of the populous regarding the repeal of an annexation issue.
The same Pickerington that has over 800 acres of annexations marching through for residential subdivisions thinks Annexation Reforms limit economic development.
Pickerington – home of the portable classroom, split sessions, endless bond and levy requests, views Annexation Reform has adversely effecting school districts.
Waving their emotional flag under the title of fighting for the beleaguered citizens
“NO ON STATE CONTROL OF PROPERTY RIGHTS”
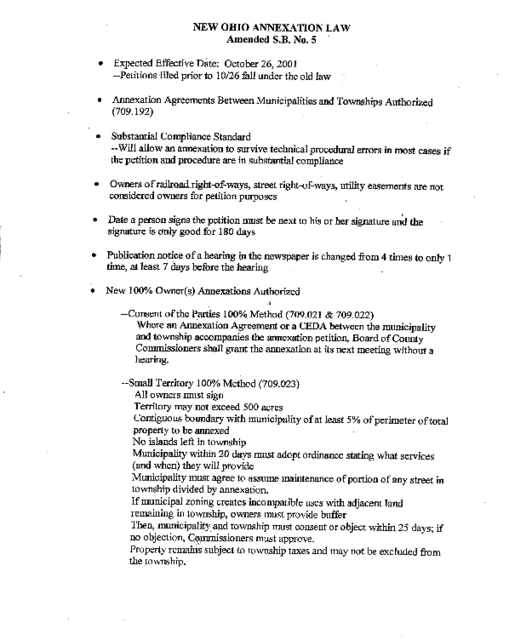
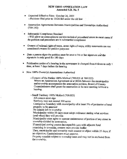
is based right here in Pickerington. Call them or write them is you wish – or if you believe there might be (2) sides to this issue open up the enlargement links to texts of the points of the Annexation Reform issue and contents of Senate Bill 5. It will take a series of (3) postings to give you the details. Along with these texts we will give you the newspaper rhetoric links for those now calling on a citizens vote.
Be completely informed.