Oak Ridge Neighborhood Association

Time Warner buys Insight

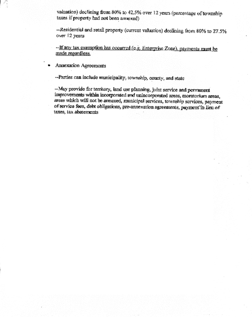
Posted in: City Of Fincastle
  • Avatar
  • Mayor Byrd
  • Respected Neighbor
  • Louisville, KY Kihei, HI
  • 15 Posts
  • Respect-O-Meter: Respected Neighbor
  • Stock
  • Babbs
  • Active Neighbor
  • USA
  • 1 Post
  • Respect-O-Meter: Active Neighbor

Does that mean that the prices will go up higher than they all ready are?

  • Avatar
  • Mayor Byrd
  • Respected Neighbor
  • Louisville, KY Kihei, HI
  • 15 Posts
  • Respect-O-Meter: Respected Neighbor

That is yet to be determined.  They have said that the transition will be "transparent" and there will be no spike in price.

Advertise Here!

Promote Your Business or Product for $10/mo

istockphoto_1682638-attention.jpg

For just $10/mo you can promote your business or product directly to nearby residents. Buy 12 months and save 50%!

Buynow